Корреляционная энтропия как метрика расстояния
Александр Иванов 25/11/25
От идеального белого шума (только хаос, нет порядка) до практически полностью упорядоченных данных (нет шума, остался только порядок)
Автор рассматривает проблему гипотезы "независимости" при анализе данных, особенно в задачах с размерностью 16 и выше, когда эта гипотеза становится ненадежной, и для ее обхода предлагается использовать энтропийно-корреляционный метод. Он позволяет вычислять энтропию по Шеннону для длинных чисел с зависимыми разрядами, обеспечивая более точные результаты.
Одной из неприятностей для всех тех, кто использует реальные данные, является гипотеза "независимости". Мы вынуждены применять эту гипотезу на малых выборках или вообще при отсутствии данных. Классика начинает "хромать" на задачах размерности 16 и более. Если осознаешь свою "хромоту", то нужно искать какой-то костыль. Пускай он будет не очень ортопедичным, главное, чтобы он помогал идти к поставленной цели. В этой статье рассматривается вариант энтропийно-корреляционного костыля, который помогает обойти "тупик" гипотезы "независимости" при вычислении энтропии по Шеннону для длинных чисел с зависимыми разрядами.
Гипотезой независимости данных имеют право пользоваться только криптографы!
Каждая система имеет собственную размерность, которая может быть заранее оценена.
Наиболее глубоко этот вопрос проработан в криптографии. В ее приложениях длина бинарного ключа симметричного алгоритма криптографических приложений является размерностью задачи. Криптографические приложения специально построены так, чтобы уничтожить существующие корреляционные связи естественного языка между битами в шифротекстах. Если применен алгоритм шифрования с ключом длиной 256 бит, то попытки оценить корреляции между разрядами шифротекста должны приводить к малым значениям коэффициентов парной корреляции между разрядами.
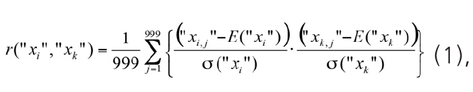
Формально этот эффект может быть оценен построением корреляционной матрицы размерности [256*256]. При формировании такой корреляционной матрицы, например, может быть использовано скользящее по шифротексту окно шириной 256 бит. Фрагмент шифротекста, на котором строится корреляционная матрица, должен быть примерно в 3-:-4 раза длиннее ширины скользящего окна. То есть в нашем случае достаточно фрагмента шифротекста длиной 999 бит. Сами коэффициенты парной корреляции оцениваются по классической формуле:

где Е(.) – оператор вычисления математического ожидания; σ(.) – оператор вычисления стандартного отклонения; кавычками "." помечены дискретные переменные (так обычно выделяют текстовые переменные при программировании).
Внутри скользящего окна процедуры вычисления коэффициентов корреляции между разрядами описываются полносвязным графом, структура которого приведена на рис. 1.
Рис. 1. Полносвязный граф, соответствующий вычислению условных вероятностей P("хi"/"хk") Байеса [1] или коэффициентов корреляционной матрицы R["хi","хk"]
На рисунке вершинами графа являются 256 состояний разрядов бинарного кода в скользящем окне по шифротексту. Матрица условных вероятностей и матрица коэффициентов парной корреляции существенно зависят от того, насколько анализируемые данные близки к идеальному белому шуму. Так, для идеального белого шума все диагональные коэффициенты корреляции должны быть единичными, а находящиеся вне диагонали коэффициенты корреляции должны быть малы:

Более того, любая корреляционная матрица симметрична, а матрица для действительно белого шума размерностью [256*256] дополнительно обязана иметь нормальное распределение коэффициентов корреляции, размещенных вне диагонали с нулевым математическим ожиданием E(r) = 0,00 и стандартным отклонением σ(r) ≈ 0,061.
Таким образом, даже идеальный белый шум (полный хаос) не может иметь идеальную единичную корреляционную матрицу (правая часть формулы (2). Любая корреляционная матрица размерности [256*256] вне диагонали имеет малые, случайные значения коэффициентов корреляции. Ситуация, когда все коэффициенты корреляции вне диагонали являются нулевыми, маловероятна.
Таким образом, распространенной гипотезой "полностью" независимых данных могут пользоваться только криптографы, убедившись в том, что при шифровании использованы криптографические механизмы, реализованные без ошибок.
Расстояние между полным хаосом (только белый шум) и полным детерминизмом (нет хаоса)
Распределение откликов нейросети при воздействии на нее белого шума отображена в центре рис. 2. При отходе от хаоса в сторону роста порядка входных биометрических данных корреляционная метрика положительна и становится дельта-функцией при совпадении кодов "свой" и "чужой". В случае, когда порядок увеличивается в сторону инверсии кода "свой", корреляция становится отрицательной и растет ее модуль.
Рис. 2. Распределение плотностей вероятности откликов нейросетевого преобразователя биометрии в код ключа длиной 256 бит
В центре рис. 2 всегда располагается нормальное распределение коэффициентов корреляции откликов нейросети. Противоположная ситуация распределения откликов нейросети на примеры образа "свой" (почти полный порядок) отображена дельта-функцией в правой части рисунка. Выходные коды примеров образа "свой" практически полностью детерминированы (шумов почти нет, коды-отклики с вероятностью 0,95 повторяются во всех разрядах).
Убедиться в достоверности данных рис. 2 можно, воспользовавшись средой моделирования "БиоНейроАвтограф" [2]. Структура преобразования данных этой среды приведена на рис. 3.
Рис. 3. Структура преобразования данных в среде моделирования "БиоНейроАвтограф"
В левой часть рисунка дан один пример рукописного пароля "Пенза", воспроизведенного на графическом планшете. Для обучения нейросети необходимо от 8 до 16 примеров рукописной парольной фразы. При обработке данных с планшета снимаются две функции времени x(t) и y(t), возникающие при воспроизведении рукописного пароля. Далее эти данные преобразуются в 416 коэффициентов двухмерного преобразования Фурье [3]. Нейросеть состоит из 256 нейронов, каждый нейрон имеет по 24 входа. Каждый вход нейрона случайно подключен к вектору 416 входных биометрических параметров. Каждый нейрон отвечает за один бит криптографического ключа, после его автоматического обучения.
Обучение нейросети выполняется автоматически алгоритмом ГОСТ Р 52633.5–2011 [4]. После обучения нейросеть воспроизводит с доверительной вероятностью 0,95 верный код ключа криптографической аутентификации. С вероятностью 0,05 возникает от 1 до 5 ошибочных бит, если нейросети предъявлять примеры образа "свой", которые не участвовали в обучении.
В случае, когда на вход обученной распознаванию пароля "Пенза" нейросети подаются случайно выбранные рукописные образы – "Сура", "крест", …, "дом", число ошибочных бит на выходах нейросети возрастает до интервала от 50 до 200. Примеры откликов нейросети на тестовые образы "чужой" приведены на рис. 4.
Рис. 4. Тестовые примеры 32 примеров образов "чужие"
Практика тестирования показывает, что бинарные коды примеров одного и того же образа похожи и имеют существенную коррелированность. Примеры разных образов "чужой" не похожи и, соответственно, имеют слабую по модулю коррелированность. На рис. 4 представлено 32 примера образов "чужие". Опираясь на них, можно вычислить (322/2-32) = 480 коэффициентов корреляции для всех неповторяющихся сочетаний 32 разных примера образов "чужой". Этого достаточно для оценки стандартного отклонения коэффициентов корреляции – σ (r). При использовании столь большой тестовой выборки нет смысла вычислять математическое ожидание коэффициентов корреляции. Достаточно оценивать только их стандартное отклонение.
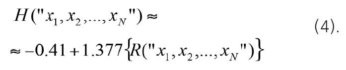
В силу того, что при вычислении коэффициентов корреляции по формуле (1) используется 256-кратное суммирование, их распределение описывается нормальным законом. При тестировании стойкости нейросетевой защиты к атакам подбора появляется возможность пользоваться гипотезой нормальности. При этом вероятность ошибок второго рода (ложное принятие образа "чужой" за образ "свой") можно оценивать, прогнозируя число опытов, попадающих в правый хвост нормального распределения со значением коэффициентов корреляции более 0,992 (рис. 2). В этом случае 256-мерная энтропия Шеннона приближенно оценивается следующим образом:

Для биометрических данных рукописного пароля "Пенза" {E(r) = 0,00; σ(r) ≈ 0,27} как результат прогнозируемая вероятность ошибок составляет Р2 ≈ 0,00021. Пересчет этой вероятности в энтропию дает значение в 12 бит. Как показали исследования, энтропия Шеннона связана с корреляционной энтропией линейно.
Из-за того, что классическая энтропия Шеннона [5, 6] и корреляционная энтропия вычисляются разными алгоритмами, каждая из оценок имеет свою собственную шкалу. Соотношение этих двух шкал энтропии отображены на рис. 5.
Рис. 5. Методическая ошибка заниженных оценок корреляционной энтропии, учета взаимных корреляционных связей между разрядами выходных кодов-откликов нейросети
Из рис. 5 следует, что модуль-корреляционная метрика энтропии, вычисленная в рамках гипотезы нормального распределения данных, всегда дает заниженные оценки. Наблюдаем методическую ошибку занижения оценок энтропии, возникающую из-за вычислений в пространстве коэффициентов корреляции. Важным фактом является то, что и шкала энтропии Шеннона, и шкала энтропии Хэмминга [6, 7], и шкала корреляционной энтропии [8] линейны. В этом контексте шкала корреляционной энтропии легко приводится к классической шкале энтропии Шеннона:

Устранение методической ошибки (4) увеличивает прогнозируемая стойкость защиты рукописного пароля "Пенза" с 12 до 17 бит. Из рис. 5 видно, что оценка корреляционной энтропии всегда меньше классической энтропии Шеннона, однако вычислить энтропию по формуле Шеннона на обычном компьютере технически невозможно.
Принципиально важным является то, что вычислительная сложность оценок корреляции по формуле (1) является квадратичной. То есть вместо вычисления энтропии Шеннона с экспоненциальной вычислительной сложностью [5, 6] появляется возможность обойти проблему через вычисления с полиномиальной вычислительной сложностью, используя последовательность преобразований (1), (3), (4). Корреляционная энтропия [8] может быть применена к задачам высокой размерности.
Видимо, самой сложной в вычислительном отношении является классическая энтропия Шеннона, которой трудно воспользоваться для сложных объектов. Параллельно с классической энтропией Шеннона должно существовать множество упрощенных алгоритмов ее оценки со своими собственными шкалами:
- Энтропия Хэмминга [6, 7].
- Корреляционная энтропия [8, данная статья].
- Энтропия направленных перестановок данных [9, ?].
- ε – энтропия Колмогорова [10, ?].
- Энтропия сетей условных вероятностей Байеса [1, ?].
- Энтропия сетей Марковских процессов [1, ?].
- :::::::::::::::::::::::::::::::::::::::::::::::::::::::::::
Приведенный выше список возможных шкал энтропии, дополняющих классическую шкалу энтропии Шеннона, открытый. Для первых двух позиций списка (энтропия Хэмминга и корреляционная энтропия) связь частных шкал со шкалой энтропии Шеннона построена. Для пункта 3 и пунктов ниже известны только упрощенные процедуры оценок соответствующих статистик. Однако как связаны упрощенные статистики с порождаемыми ими шкалами энтропии и шкалой энтропии Шеннона, неизвестно.
Так, вполне возможна оценка минимального числа элементов ε-сетей, предложенная А.Н.
Колмогоровым в 1954 г. [10]. Соответственно, для оценок Колмогорова может быть построена шкала энтропии. На данный момент работ, связывающих шкалу ε-энтропии Колмогорова со шкалой энтропии Шеннона, нет. Это обстоятельство отображено отсутствием соответствующих ссылок в списке литературы – [10, ?].
Приведенный выше список открытый (нет его завершения), нумерация в нем может быть существенно увеличена. Так, нумерация вырастет с 6 до 22, если его расширить 16 тестами NISN [11], предназначенными для упрощенной оценки близости криптографических ключей к белому шуму. Каждому тесту NISN должна соответствовать своя шкала связи с энтропией Шеннона. Упрощенных процедур оценки энтропии множество, каждую их них можно рассматривать как некоторую оценку расстояния от анализируемых данных до идеального белого шума или энтропии Шеннона.
Полезные для практики рекомендации
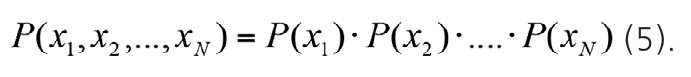
В прошлом веке статистика не имела инструмента для учета реальных корреляционных связей между параметрами. Именно по этой причине исследователи и инженеры часто применяли гипотезу независимости данных. Ее популярность обусловлена простотой вычисления вероятности появления того или иного вектора случайных независимых событий:

В более компактной форме соотношение (5) удобно записывать, опираясь на среднее геометрическое частных вероятностей:

Формально преобразования (5) и (5а) эквивалентны, однако разница между ними все-таки есть. Вторая форма записи позволяет легко перейти к учету влияния корреляционных связей:

где корреляционный параметр – rN является параметром симметризованной корреляционной матрицы, находящийся вне ее диагонали.
Как правило, корреляционная матрица реальных данных симметрична относительно своей диагонали, но модули ее элементов, расположенных вне диагонали, не совпадают. У полностью симметризованной корреляционной матрицы вне диагонали должны располагаться одинаковые положительные коэффициенты корреляции – rN:

Процедура полной симметризации корреляционных связей (7) существенно упрощает программирование многомерных численных экспериментов [12, 13], сохраняя тождество многомерных вероятностей реальных данных и их моделей. Переход к параметрам полностью симметризованной корреляционной матрицы выполняется усреднением модулей коэффициентов корреляции исходной матрицы [14]:

Следует отметить, что при симметризации корреляционных матриц желательно опираться на реальные данные, однако это требование не всегда выполнимо. Если реальные данные полностью отсутствуют, они могут быть заменены экспертными оценками.
На рис. 6 отображены кости кисти руки человека, сочлененные 22 суставами. Каждый сустав – это как минимум одна степень свободы кисти руки. То есть наличие 22 суставов с 22 приводами порождает 22-мерную задачу численного моделирования управления мышцами руки.
Рис. 6. Скелет кисти руки человека, 26 костей руки соединены 22 суставами
Нумерация суставов кисти руки начинается с вершины указательного пальца. Сам палец содержит четыре сустава, пятый сустав находится в запястье. Реальных данных о корреляционных связях работы мышц указательного пальца у меня нет, в связи с этим корреляционная матрица построена на экспертных оценках:

Усреднение коэффициентов корреляции, находящихся вне диагонали, дает симметричную матрицу в правой части (2). Пользуясь значением одинаковых коэффициентов корреляции r5= 0,35, мы можем вычислить ожидаемое число степеней свободы задачи управления одним пальцем руки:

Предполагая, что число степеней свободы задачи управления для всех пальцев одинаково, получаем число степеней свободы для кисти руки, равное 11,25. Это соответствует снижению числа степеней свободы задачи управления кистью руки примерно на 96%.
Заключение
Хаос один и находится в центре возможных состояний любой системы, а порядок может быть как отрицательным, так и положительным (рис. 2). Описанный в статье переход к корреляционным оценкам энтропии учитывает только переход к положительному порядку, что делать с отрицательным порядком, пока неизвестно.
Этот вопрос пока повис и нуждается в дополнительных исследованиях. Тем не менее хорошо просматриваются перспективы развития этого направления работ. Каждому упрощенному тесту NISTдля проверки качества криптографических ключей может быть построен свой упрощенный оценщик энтропии Шеннона. Объединение достаточно большого числа упрощенных оценок энтропии, видимо, позволит оценивать энтропию Шеннона достаточно точно.
Одним из важных приложений корреляционных процедур оценки энтропии является то, что через полную симметризацию корреляционных матриц удается оценивать реальную размерность той или иной практической задачи.
Список литературы
- Сукар Л.Э. Вероятностные графовые модели. Принципы и приложения. М.: ДМК Пресс, 2021.
- Иванов А.И., Захаров О.С. Среда моделирования "БиоНейроАвтограф". Программный продукт создан лабораторией биометрических и нейросетевых технологий, размещен с 2009 г. на сайте АО "ПНИЭИ" http://пниэи.рф/activity/science/noc/bioneuroautograph.zip для свободного использования русскоязычными университетами России.
- Даджион Д., Мерсеро Р. Цифровая обработка многомерных сигналов. М.: Мир, 1988.
- ГОСТ Р 52633.5–2011 "Защита информации. Техника защиты информации. Автоматическое обучение нейросетевых преобразователей биометрия-код доступа".
- Яглом А.М., Яглом И.М. Вероятность и информация. М.: Дом Книги, 2007.
- Волчихин В.И., Иванов А.И., Иванов А.П. Алгоритмы быстрого вычисления энтропии Шеннона на малых выборках для длинных кодов с существенно зависимыми разрядами // Вестник Астраханского государственного технического университета. Серия: Управление, вычислительная техника и информатика. 2024. № 4 С. 27–34, https://doi.org/ 10.24143/2072-9502-2024-4-27-34.
- Иванов А.И. Технологии тестирования искусственного интеллекта. Как оценить, во сколько раз сверточная нейросеть понижает энтропию белого шума при сжатии реальных данных? // Системы безопасности. 2025. № 3. С. 118–121.
- Иванов А.И., Иванов А.П., Горбунов К.А. Нейросетевое преобразование биометрии в код аутентификации: дополнение энтропии хэмминга энтропией корреляционных связей между разрядами //Надежность и качество сложных систем. 2023. С. 91–98.
- Иванов А.И. Энтропия как оценка числа модификации кода от исходного хаоса к максимальному порядку: быстрый алгоритм приближенной оценки качества случайных последовательностей // Защита информации. Инсайд. 2024. № 4. С. 56–59.
- Колмогоров А.Н. Оценка минимального числа элементов ε-сетей в различных функциональных классах и их применение к вопросу о представимости функций нескольких переменных суперпозицией меньшего числа переменных. Доклад на заседании Московского математического общества 27.04.1954.
- A Statistical Test Suite for Random and Pseudorandom Number Generators for Cryptographic Applications. NISTSP 800-22.
- Малыгин А.Ю., Волчихин В.И., Иванов А.И., Фунтиков В.А. Быстрые алгоритмы тестирования нейросетевых механизмов биометрикокриптографической защиты информации.
Пенза: Издательство Пензенского государственного университета, 2006. - Язов Ю.К. и др. Нейросетевая защита персональных биометрических данных. М.: Радиотехника, 2012 г.
- Иванов А.И., Банных А.Г., Серикова Ю.И. Учет влияния корреляционных связей через их усреднение по модулю при нейросетевом обобщении статистических критериев для малых выборок // Надежность. 2020. № 2. С. 28–34.
Иллюстрации предоставлены автором.
Иллюстрация к статье сгенерирована нейросетью Kandinsky
- Безопасность объектов (350)
- Пожарная безопасность (309)
- Комплексная безопасность (296)
- Видеонаблюдение (294)
- СКУД (277)
- Транспортная безопасность (173)
- Каталог "Пожарная безопасность" (154)
- Пожарная сигнализация (147)
- Мнения экспертов (137)
- Видеоаналитика (120)
- Цифровая трансформация (119)
- Видеокамеры (105)
- Биометрия (101)
- Искусственный интеллект (95)
- Места с массовым пребыванием людей (83)
- Пожаротушение (81)
- Цифровое ЖКХ (72)
- Информационная безопасность (65)
- Киберзащита (61)
- Беспроводные технологии (49)
- Ритейл (49)
- Журнал "Системы безопасности" №1/2021 (48)
- Журнал "Системы безопасности" №6/2023 (48)
- Охрана периметра (47)
- Журнал "Системы безопасности" №6/2021 (45)
- Умный дом (44)
- Журнал "Системы безопасности" №2/2022 (43)
- Журнал "Системы безопасности" №1/2022 (42)
- Журнал "Системы безопасности" №1/2023 (42)
- Журнал "Системы безопасности" №5/2022 (41)
- Журнал "Системы безопасности" №5/2024 (41)
- Журнал "Системы безопасности" №6/2022 (41)
- Журнал "Системы безопасности" №2/2020 (40)
- Журнал "Системы безопасности" №3/2020 (39)
- Журнал "Системы безопасности" №3/2022 (39)
- Журнал "Системы безопасности" №5/2023 (39)
- Журнал "Системы безопасности" №6/2019 (39)
- Журнал "Системы безопасности" №1/2024 (38)
- Журнал "Системы безопасности" №4/2023 (38)
- Журнал "Системы безопасности" №4/2024 (38)
- Журнал "Системы безопасности" №4/2025 (38)
- Журнал "Системы безопасности" №5/2021 (38)
- Защита от БПЛА (38)
- Технологии распознавания (38)
- Журнал "Системы безопасности" №4/2022 (37)
- ТЭК и нефтегаз (37)
- Центры обработки данных (ЦОД) (37)
- Журнал "Системы безопасности" №2/2021 (36)
- Журнал "Системы безопасности" №3/2023 (36)
- Журнал "Системы безопасности" №5/2020 (36)
- Журнал "Системы безопасности" №2/2025 (35)
- Журнал "Системы безопасности" №3/2021 (35)
- Журнал "Системы безопасности" №4/2020 (35)
- Автоматизация зданий (34)
- Журнал "Системы безопасности" №1/2020 (34)
- Рынок безопасности (34)
- Журнал "Системы безопасности" №1/2025 (33)
- Журнал "Системы безопасности" №2/2023 (33)
- Журнал "Системы безопасности" №2/2024 (33)
- Журнал "Системы безопасности" №6/2020 (33)
- Тепловидение (33)
- Антидрон (32)
- Журнал "Системы безопасности" №5/2019 (31)
- Журнал "Системы безопасности" №4/2021 (30)
- Интернет вещей (IoT) (30)
- Журнал "Системы безопасности" №3/2025 (29)
- Журнал "Системы безопасности" №6/2024 (29)
- Машинное зрение (29)
- Импортозамещение (28)
- Журнал "Системы безопасности" №3/2024 (27)
- Умный город (27)
- Идентификация (26)
- Нейросети (26)
- СОУЭ (26)
- Журнал "Системы безопасности" №4/2019 (25)
- Промышленность (25)
- Безопасность (24)
- Транспорт (24)
- Облачные технологии (23)
- Охрана труда и промышленная безопасность (ОТиПБ) (23)
- Журнал "Системы безопасности" №3/2019 (22)
- Банки и финансы (20)
- Новости компаний (20)
- PSIM (18)
- Антитеррор (18)
- НВП "Болид" (17)
- Охрана объектов (16)
- COVID-19 (15)
- Досмотр (15)
- Журнал "Системы безопасности" №5/2025 (15)
- Интеграция (15)
- Итоги (15)
- Проектирование и монтаж (15)
- Автоматизация (14)
- АРГУС-СПЕКТР (13)
- Безопасный город (13)
- Исследование (13)
- Охранная сигнализация (13)
- Турникеты (13)
- Домофоны (12)
- Компании (12)
- МЧС России (12)
- Рейтинги (12)
- Системы хранения данных (СХД) (12)
- ТБ Форум (12)
- Удаленный доступ (12)
- All-over-IP (11)
- Beward (11)
- CCTV (11)
- Извещатели (11)
- Интервью (11)
- Распознавание лиц (11)
- BioSmart (10)
- Дайджест (10)
- Сертификация (10)
- IdM (9)
- PERCo (9)
- Взрывозащита (9)
- ИТ-инфраструктура (9)
- Источники бесперебойного питания (ИБП) (9)
- Роботизация (9)
- Axis Communications (8)
- Бизнес, идеи и мнения (8)
- Стрелец-ПРО (8)
- ААМ Системз (7)
- АРМО-Системы (7)
- Авиакомпании и аэропорты (7)
- БАС (7)
- Болид (7)
- Контроллеры (7)
- Метрополитен (7)
- ПБ (7)
- Программное обеспечение (7)
- DSSL (6)
- Законодательство (6)
- Лидеры технологий (6)
- Металлургия (6)
- Радиоканальные системы (6)
- АСУ ТП (5)
- Беспилотники (5)
- Индустрия 4.0 (5)
- Мобильный доступ (5)
- Промышленная автоматизация (5)
- Регулирование (5)
- Ситуационные центры (5)
- Шлагбаумы (5)
- IDIS (4)
- ITV Group (4)
- PERCo-Web (4)
- Важные люди (4)
- Журнал "Системы безопасности" (4)
- ИПДА (4)
- ИТ-отрасль (4)
- КИИ (4)
- Колонка эксперта (4)
- Коммутаторы (4)
- Критически важные объекты (КВО) (4)
- Машинное обучение (4)
- ОПС (4)
- Персональные данные (4)
- Персоны (4)
- ТД Актив-СБ (4)
- Тестирование (4)
- Трибуна заказчика (4)
- BIM-технологии (3)
- Smartec (3)
- dormakaba (3)
- АСКУЭ (3)
- АУП (3)
- Агрокомплекс (3)
- Алкотестер (3)
- Астрон (3)
- Гибридная война (3)
- Защита информации и связи, кибербезопасность (3)
- Инновации (3)
- Информационные технологии (3)
- Конференции (3)
- Мероприятия по безопасности (3)
- Микроэлектроника (3)
- Противотаранные устройства (3)
- СУРВ (3)
- Сельское хозяйство (3)
- Стандарты, нормы и требования (3)
- Строительная экспертиза (3)
- ТЕКО (3)
- Умные парковки (3)
- Учет рабочего времени (3)
- Цифровые технологии (3)
- Эксклюзив (3)
- 5G (2)
- ACaaS (2)
- EverFocus (2)
- IT-системы (2)
- Iron Logic (2)
- PALMJET (2)
- PCI DSS (2)
- Parsec (2)
- RPA (2)
- RusGuard (2)
- SaaS (2)
- Synology (2)
- TRASSIR (2)
- Vidau Systems (2)
- ZKTeco (2)
- АО "ОКБ "АСТРОН" (2)
- Аналитика (2)
- Астра-А (2)
- Аттестация (2)
- Аттестация персонала (2)
- Безопасность данных (2)
- Беспроводные системы (2)
- Виртуальный рабочий стол (2)
- Главгосэкспертиза (2)
- Делетрон (2)
- ИТС (2)
- Кабельная продукция (2)
- Категорирование (2)
- Корпоративная безопасность (2)
- Метро (2)
- Минтранс (2)
- Объекты культурного наследия (2)
- Охранный мониторинг (2)
- ПО (2)
- РЖД (2)
- Росгвардия (2)
- ССОИ (2)
- Современный офис (2)
- Телевидение (2)
- Термокожухи (2)
- Тоннели (2)
- Удаленная работа (2)
- Устройства защиты от импульсных перенапряжений (2)
- Хранение оружия (2)
- ЦеСИС НИКИРЭТ (2)
- Цифровизация (2)
- Электрозамки (2)
- Энергетика (2)
- логистика (2)
- 3D-моделирование (1)
- Ajax (1)
- Axis Talk 2021 (1)
- BARNET (1)
- BIM- моделирование (1)
- BYOD (1)
- Basler AG (1)
- Beyond Security (1)
- Big Data (1)
- Bosch (1)
- CMOS-технология (1)
- COPE (1)
- ChatGPT (1)
- Cloud4Y (1)
- D-link (1)
- DBaaS (1)
- DCImanager (1)
- DDoS-атаки (1)
- DIS Group (1)
- Dahua (1)
- Deep Learning (1)
- EAS-система (1)
- Edge AI + Vision (1)
- Face ID (1)
- FaceStation 2 (1)
- Faceter Russia (1)
- Flamax (1)
- GDPR-террористы (1)
- Grundig Security (1)
- HID Global (1)
- HR Tech (1)
- Hanwha Techwin (1)
- Hi-Tech Security (1)
- Hikvision Russia (1)
- Hrtech (1)
- IP-коммуникации (1)
- IP-протокол (1)
- IP-системы (1)
- ISPsystem (1)
- IaaS (1)
- InPrice Distribution (1)
- InfoWatch Traffic Monitor (1)
- Intel (1)
- Intelligent Video (1)
- Milestone Systems (1)
- Mission Critical (1)
- NAS (1)
- NFC (1)
- NFC BLE (1)
- NOVIcam (1)
- NVR (1)
- OSDP (1)
- OSRAM (1)
- ParsecNET 3 (1)
- Phoenix Contact (1)
- QNAP (1)
- QR-коды (1)
- RPA-платформы (1)
- RecFaces (1)
- SIP (1)
- SVA/SVI (1)
- SVP/SVZ (1)
- Seagate (1)
- SecuriSmoke (1)
- Securika Moscow (1)
- Sicurezza (1)
- Sigur (1)
- Synology DVA3219 (1)
- UEM SafeMobile (1)
- Ultra-Wideband (1)
- VMS (1)
- VUCA-мир (1)
- deepfake (1)
- e-commerce (1)
- e-сommerce (1)
- eIVP1570 VE (1)
- АМТ-ГРУП (1)
- АНВ (1)
- АПС rubetek (1)
- АСУДД (1)
- Аспирационные системы (1)
- Астра-Z-8845 (1)
- Астра-Zитадель (1)
- Астра-РИ-М (1)
- БГ-Оптикс (1)
- БайтЭрг (1)
- Бесконтактный сканер (1)
- Беспилотный транспорт (1)
- Бизнес (1)
- Биотехнологии (1)
- Большие данные (1)
- Бун Эдам (1)
- В2В (1)
- В2С (1)
- Вентиляция (1)
- Верификация (1)
- Видеорегистраторы (1)
- Виртуальный ассистент (1)
- Вирусная активность (1)
- Вишинг (1)
- Всероссийский союз страховщиков (1)
- Гибридная пена (1)
- Государственный надзор (1)
- Дактилоскопия (1)
- Деловая программа (1)
- Дистанционное обучение (1)
- Добродел (1)
- ЕБС (1)
- Евразийский экономический союз (1)
- Европейский союз (1)
- Журнал "Системы безопасности" №6/2025 (1)
- ИИС (1)
- ИКАО (1)
- ИПДЛ (1)
- ИСБ (1)
- ИСО Орион (1)
- ИСП (1)
- ИТРИУМ СПб (1)
- Иконоскоп Зворыкина (1)
- Интеллектуальные транспортные системы (1)
- Интернет (1)
- Интером (1)
- Источники информации (1)
- К2Тех (1)
- Квантовые вычисления (1)
- Киберугрозы (1)
- Колонка редактора (1)
- Компьютерное зрение (1)
- Контрафактная продукция (1)
- Конфиденциальная информация (1)
- Логический доступ (1)
- МГП ЗАРЯ (1)
- МФСБ (1)
- МЦД (1)
- Малленом Системс (1)
- Менеджер по продажам СБ (1)
- Методы защиты информации (1)
- Метрология (1)
- Микропроцессоры (1)
- Минимизация последствий ЧС (1)
- Минэнерго (1)
- Минэнерго России (1)
- Мировая урбанизация (1)
- Мобильные мошенники (1)
- Модули подключения (1)
- Морская безопасность (1)
- Мосгортранс (1)
- Московский метрополитен (1)
- Мошеннические схемы (1)
- Мощность излучения (1)
- НПЗ (1)
- НПК "Фотоника" (1)
- Нетворк Профи (1)
- Новости (1)
- ОКБ "Гамма" (1)
- ОС QuTS hero (1)
- Огневые испытания (1)
- Опрос онлайн (1)
- Оптимизация систем безопасности (1)
- Отраслевые сайты по безопасности (1)
- Отрасль (1)
- Охранные системы (1)
- ПАО "КАМАЗ" (1)
- ПК (1)
- Пентест (1)
- Передатчик (1)
- Пожтехника (1)
- Полупроводники (1)
- Развитие экономики (1)
- Результаты сертификации (1)
- Росморречфлот (1)
- Ростехнадзор (1)
- Рынок ИТ (1)
- СБ "Марит" (1)
- СМК (1)
- Самарский метрополитен (1)
- Самолет-амфибия (1)
- Сбербанк (1)
- Сверхвысокочастотный сигнал (1)
- Сенсорные барьеры (1)
- Система измерения (1)
- Системы безопасности (1)
- Системы защиты с трибоэлектрическим кабелем (1)
- Системы позиционирования (1)
- Системы связи и мониторинга (1)
- Сканер отпечатков пальцев (1)
- Сканирование пассажиров в метро (1)
- Сколково (1)
- События (1)
- Советы менеджерам (1)
- Социальная инженерия (1)
- Стивен Кови (1)
- Строительство (1)
- Считыватели (1)
- Считыватели рисунка вен (1)
- Т8 Сенсор (1)
- ТЕНЗОР (1)
- ТПУ (1)
- Тайм менеджмент (1)
- Телеком (1)
- Телефонные мошенники (1)
- Терагерцовая технология (1)
- Термометрия (1)
- Тест (1)
- Технологии (1)
- Тренды и тенденции (1)
- Управление (1)
- Управление доступом (1)
- ФСБ (1)
- ФСТЭК (1)
- Фиксация нарушений ПДД (1)
- Форум (1)
- Центр ФСБ России (1)
- Цикл продаж СБ (1)
- Чат-бот (1)
- Широкополосный доступ (1)
- Шоплифтер (1)
- Экономическая безопасность (1)
- Экспертиза (1)
- Электромагнитная совместимость (1)
- Эпоха диджитализации (1)
- виртуальная реальность (1)
- здравоохранение (1)
- маркетинг (1)
- процессоры (1)
- связь (1)
- технические подробности (1)
- фишинг (1)
- Ноябрь 2025 (17)
- Октябрь 2025 (23)
- Сентябрь 2025 (24)
- Август 2025 (19)
- Июль 2025 (23)
- Июнь 2025 (19)
- Май 2025 (20)
- Апрель 2025 (20)
- Март 2025 (22)
- Февраль 2025 (17)
- Январь 2025 (17)
- Декабрь 2024 (21)
- Ноябрь 2024 (26)
- Октябрь 2024 (24)
- Сентябрь 2024 (22)
- Август 2024 (23)
- Июль 2024 (23)
- Июнь 2024 (18)
- Май 2024 (23)
- Апрель 2024 (20)
- Март 2024 (20)
- Февраль 2024 (19)
- Январь 2024 (25)
- Декабрь 2023 (30)
- Ноябрь 2023 (24)
- Октябрь 2023 (19)
- Сентябрь 2023 (23)
- Август 2023 (26)
- Июль 2023 (21)
- Июнь 2023 (20)
- Май 2023 (24)
- Апрель 2023 (17)
- Март 2023 (21)
- Февраль 2023 (24)
- Январь 2023 (24)
- Декабрь 2022 (32)
- Ноябрь 2022 (28)
- Октябрь 2022 (23)
- Сентябрь 2022 (25)
- Август 2022 (21)
- Июль 2022 (24)
- Июнь 2022 (27)
- Май 2022 (24)
- Апрель 2022 (24)
- Март 2022 (27)
- Февраль 2022 (21)
- Январь 2022 (22)
- Декабрь 2021 (25)
- Ноябрь 2021 (23)
- Октябрь 2021 (24)
- Сентябрь 2021 (25)
- Август 2021 (24)
- Июль 2021 (26)
- Июнь 2021 (30)
- Май 2021 (25)
- Апрель 2021 (25)
- Март 2021 (22)
- Февраль 2021 (17)
- Январь 2021 (17)
- Декабрь 2020 (23)
- Ноябрь 2020 (19)
- Октябрь 2020 (17)
- Сентябрь 2020 (16)
- Август 2020 (23)
- Июль 2020 (20)
- Июнь 2020 (22)
- Май 2020 (16)
- Апрель 2020 (26)
- Март 2020 (22)
- Февраль 2020 (17)
- Январь 2020 (20)
- Декабрь 2019 (21)
- Ноябрь 2019 (12)
- Октябрь 2019 (18)
- Сентябрь 2019 (24)
- Август 2019 (14)
- Июль 2019 (17)
- Июнь 2019 (17)
- Май 2019 (13)
- Апрель 2019 (18)
- Март 2019 (18)
- Февраль 2019 (25)




Поделитесь вашими идеями